【前言】目前太阳集团在线课堂教学如火如荼,老师们在各大教学平台化身“直播高手”“网课达人”倾心打造精彩课堂,有效保证了在线学习与线下课堂教学质量实质等效。为进一步推进信息技术与教育教学深度融合,创新线上教学模式,培育和打造线上“金课”,发挥优秀案例引领示范作用,教务处通过此专栏搭建学习交流平台,总结在线课堂教学经验,展示在线课程建设成果,供老师们参考、学习和借鉴。
【本期分享】数学与系统科学学院尹宗斌副教授:《高等代数2》线上教学实践
一、课程基本情况
课程名称:《高等代数2》
课程类型:专业基础课
课程学时:108(理论学时)
授课班级:19应统1班(38人)
课程教学目标:通过本课程的学习,学生掌握多项式理论、线性代数理论等代数基础知识,理解代数学研究问题的基本思想和方法;训练学生对抽象对象的分析、归纳、概括和探索性推理的能力,培养其抽象思维、逻辑推理和代数运算能力。为进一步学习微分方程、计算方法、概率论以及统计学等后继课程打好基础。
课程特点:高等代数是现代数学的基础课程,是数学各本科专业培养计划中的必修课程之一,课程内容具有一定的抽象性。此外,本课程具有很强的理论性和应用性,如矩阵相关理论是计算机技术、通讯信息技术、现代生物工程技术等学科发展研究中的一个有力工具。
二、线上教学方案
本课程采用线上共享屏幕直播授课+线上线下辅导的形式教学。这种线上教学模式的选择主要基于以下几个方面的考虑:
(一)从课程本身的特点来看,高等代数中的数学概念、命题定理以及技巧方法相对抽象。在线上教学试运行阶段所取得的经验来看,让学生通过慕课等现有教学视频等资源提前自学需花费较多的学习时间,但学习效率往往不高,对知识点的理解程度也不到位;给线上、线下答疑辅导增添了一定的难度。再者,本课程虽然已有一些慕课视频资源,但所选用的教材与本校学生使用的教材不一致,部分章节的前后顺序安排略有不同,不便于任课教师开好课。
(二)从任课教师开展教学工作来看,直播教学的软硬件条件不难达到(前期的调查结果表明19应统1班的同学们也都基本具备),实施起来也比较方便,在课堂中还能随时增添一些即时的想法(如新增一些讨论问题、根据学生的反馈多举两个例子亦或是留下几道具有启发的课后思考题等等)来提高教学效果。在直播授课之余,线上线下辅导是高等代数课程必不可少的一个教学环节,对学生学习的进一步查缺补漏和巩固提高具有重要作用;按时的答疑和适当的课后作业不仅可以检验学生对所学知识点的理解程度,还有助于教师掌握学生学习情况,从而灵活调整教学进度和策略。
(三)从学生的角度出发,大一学生的自主学习意识和专业理解能力相对较弱,其思维正处于从初等数学向高等数学转变的过渡阶段;训练学生对数学的热爱和学习积极性是学好数学的首要任务;直播授课在正规的教学时段中完成知识点的教学,有助于培养学生对该课程的兴趣,让学生有“在课室一起学习,共同探讨”的学习意愿,避免因网络学习造成 “独自观看教学视频,而学习内容抽象难懂”的枯燥感和由课前学习任务带来的压迫感。
线上教学模式的实现涵盖了课前、课中和课后三个过程,分别对应到下面的三个部分。
1.准备工作:
(1)为了方便同学们一起学习和讨论交流,在线上教学试运行阶段,19统计1班学生全部加进微信群和企业微信群:19应统高代学习群;并加入高代云班课(主要用于考勤、提交作业与批注、以及记录每位同学的详细学习情况)。
(2)鉴于疫情突发情况,学生缺乏课程所需的教材等学习资料。为不影响教学质量,任课教师每周提前将手写稿教案、电子版课件、教学进度安排以及本周的作业任务等发到云班课(或微信群),以便学生提前做好预习准备。

图1 线下的备课讲义

图2 提前将教学资料放在云班课
(3)考勤是督促学生学习的一个重要途径,尤其在当前线上教学模式下,提前提醒学生做好上课准备是非常有必要的。为此,教师课前五分钟内考勤一次,通过云班课签到功能,完成签到,了解学生上课就绪情况。云班课自动保存每次的课前考勤记录,参见下图。

图3 云班课签到
2. 课中直播授课
在正规教学时间内,教师和学生共同进入企业微信群,采用群直播屏幕共享方式完成知识传授,互动答疑,点评作业。为了避免因网络问题造成的学习障碍,直播的教学视频可以在课后重复回放,方便学生复习!

图4 企业微信群授课
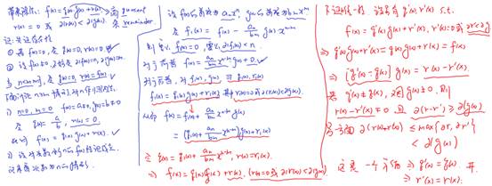
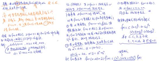
直播中的“粉笔”和“黑板”是数学理论类课程不可或缺的教学工具,前后章节知识的关联和结构框架安排介绍、抽象概念的解释、定理命题的严格证明、例题的详细步骤、学生具体问题的解答等都离不开教师每一步的线上演示。根据高等代数课程的特点,我们采用PPT教学课件以及电子手写板辅助演示相结合的方式开展,其中电子手写板屏幕共享可以完全替代“黑板”的功能,而每一个重要步骤的手写推演则是学生紧随教师思路,做好课堂笔记,保证学习效果的重中之重。

图5 手写板辅助教学工具
图6 企业微信平台屏幕共享功能展示课件


图7 企业微信平台屏幕共享手写板及直播理论推导过程
为了便于学生对课中某些重点以及难点知识点的进一步理解和复习,我们用手写板给出详细的定理证明和例题演算过程,并且保存为图片后发到学习群,供学生学习!


图8 保存手写板笔记便于复习
3.课后辅导和答疑
教师每周提前在云班课上发布本周作业,学生需在规定时间内完成并上传自己的作业至云班课(要求:手写并拍照提交),云班课自动统计每次作业的完成情况。


图9 学生提交在云班课的作业情况
教师在云班课APP中对提交的每份作业进行批注和点评,并找出学生的问题所在。根据学生提交的测试和作业,资料查看情况等信息,教师能更加科学精准地对学生的学习效果进行评价,发现教学中的深层次问题,及时对后续的教与学进行预测和调整策略。



图10 教师批改和点评学生作业
课后及时解答学生的问题,帮助学生消化课上所讲的重点、难点知识点,并将具有一定代表性的问题发至班级微信学习群,让大家一起来思考讨论。

图11 微信答疑学生的问题
三、线上教学小结和体会
通过本线上教学模式下的课后反馈情况来看,学生的自主学习积极性和参与度较高,能按时完成每次布置的作业任务,碰到学习上的困惑也能及时提出来大家讨论。在直播教学中,学生对手写板的使用非常赞同,称它能清晰直观理解手写板书演示中的每一个细节;学生对高等代数课程的总体教学效果很满意。
在本课程整个的教学过程中,将运用多元化的评价体系,包括考勤、课堂表现、随堂测试、作业、资料学习情况等过程评价和期末最终成绩评价,根据评价过程中出现的问题不断修改教学设计和教学方案,提高线上教学效果。
与传统的课室授课相比较,当下在线教学模式的一个不足之处是:因条件受限,没有办法通过学生的听课神态和表情判断大家对所讲知识点的理解程度,缺少了实实在在的现场互动。